Zoznam úloh

4. Vodu zmiešame so zmesou...

Zadanie

Možno si ešte pamätáte na šikovného Adama, ktorý zmiešal múku s cukrom. Po veľkom úspechu curkovomúkového koláča sa rozhodol skúsiť inú zmes. Tentoraz zmiešal soľ s cukrom. Následne si ale uvedomil, že takú zmes asi do koláča použiť nevie – kto to kedy videl, sladko-slaný koláč?! Tak sa Adam rozhodol, že si so zmesou zaexperimentuje. Zaujímalo by ho, akú rozpustnosť má táto zmes vo vode v závislosti od hmotnostného pomeru cukru a soli. Zmerajte túto závislosť experimentálne v celom rozsahu hmotnostného pomeru zmesi – od čistej soli až po čistý cukor.

Na začiatok sa musím priznať, že hoci som sa UFu venoval dosť dlho, na túto úlohu si vôbec nepamätám… No, poďme k veci. Presne tak, ako píše zadanie, budeme zmiešavať soľ s cukrom, následne túto zmes zmiešavať s vodou a zisťovať koľko tejto zmesi sa roztopí vo vode.

Pozrime si najprv koľko približne očakávame, že sa rozpustí takejto zmesi vo vode. Rozpustnosť kuchynskej soli podľa tabuliek je $\SI{355}{\gram\per\litre}$ a cukru približne rovnako. Keďže nechceme minúť priveľa cukru a soli, tak by sme mohli rozpúšťať zmes soli a cukru v $\SI{100}{\milli\litre}$ vody.

Keďže rozpustnosť závisí od teploty vody, budeme sa snažiť túto teplotu počas merania nemeniť (čo by ale nemal byť problém). Inak bude experiment prebiehať pomerne priamočiaro: Do priehľadnej odmerky nalejeme $\SI{100}{\milli\litre}$ vody, v nejakej miske si namiešame zmes v požadovanom pomere a následne budeme pomaly prisypávať zmes až pokiaľ sa neprestane rozpúšťať.

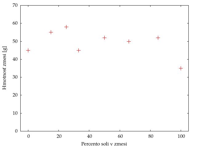
Merania sme zapísali do tabuľky:

Percento soli v zmesi Hmotnosť zmesi
$0$
$15$
$25$
$33$
$50$
$66$
$85$
$100$

A následne z meraní urobili graf:

Figure 1: Graf závislosti hmotnosti zmesi v nasýtenom roztoku od percenta soli v zmesi.Obrázok 1: Graf závislosti hmotnosti zmesi v nasýtenom roztoku od percenta soli v zmesi.

Povedzme najprv niečo o chybách merania a až potom zhodnoťme výsledky. Ako najväčšiu chybu merania by sme tentokrát asi označili to, že určovanie toho, kedy je roztok nasýtený sme nerobili nijako exaktne, ale len spôsobom: „Keď to dosť pomiešam a už sa to nerozpustí, tak je to nasýtené“. Problém bola u nás napríklad soľ, ktorá obsahovala niektoré kryštáliky, ktoré sa nerozpustili ani v prípade že roztok nebol nasýtený.

Hmotnosť bola meraná na desatinu gramu, čo je v porovnaní so subjektívnym zisťovaním nasýtenosti roztoku veľmi presne.

Čo sa týka výsledkov, tak z nich asi nevieme vyvodiť žiadnu závislosť. Je to spôsobené veľmi veľkou chybou merania v rozoznávaní nasýteného roztoku, ktorá bude asi aj väčšia ako rozdiel medzi najväčšou a najmenšou nameranou hodnotou.

Ako by sme mohli experiment zlepšiť? Asi by bolo treba venovať mu veľa času, aby sa dala zmes cukru a soli pridávať postupne, a mať čas na ich dokonalé rozpustenie. Za zváženie by stál aj opačný postup: nie pridávať cukor a soľ do vody, ale vodu do cukru a soli. Takto by sme mohli pridať toľko vody, koľko by bolo treba na rozpustenie zmesi a meranie by možno bolo presnejšie.

Iný možný postup je, že nasypeme veľa cukru a soli do vody a potom zistíme koľko sa jej nerozpustilo. To by ale znamenalo zisťovať hmotnosť toho, čo sa nerozpustilo, kvôli čomu by bolo asi treba túto zmes sušiť, aby sme ju nevážili aj s vodou.

Takýto postup nám príde na prvý pohľad ešte menej presný ako ten, ktorým sme to merali. (A medzi nami, to už je teda čo povedať.)

Pre odovzdávanie sa musíš prihlásiť.
Trojsten

Fyzikálny korešpondenčný seminár zastrešuje občianske združenie Trojsten.

Kontakt
Ďalšie projekty