Vladkovi prestalo stačiť fotografovanie nočnej oblohy pri dlhej expozícii. Chcel sa k nej priblížiť ešte viac a preto si len tak z pasie zostrojil malú raketu. Vladkove ambície siahajú vysoko – konkrétne do výšky $h$ nad zemský povrch, do ktorej by chcel svoju raketu umiestniť na kruhovú dráhu. Vladko teraz dumá, aký celkový impulz bude potrebný v nasledujúcich situáciách:
Raketa najprv krátko zapne motory a naberie takú zvislú rýchlosť, aby zotrvačnosťou doletela práve do výšky $h$. Následne sa otočí vodorovne a ďalším impulzom zmení svoju dráhu na kruhovú.
Raketa najprv vyletí na kruhovú orbitu v zanedbateľnej výške. Potom krátkym impulzom zvýši svoju rýchlosť v smere letu tak, aby letela po elipse, ktorej apogeum (bod trajektórie najvzdialenejší od stredu Zeme) sa nachádza vo výške $h$. Po dosiahnutí apogea znovu krátko zapne motory, aby sa jej trajektória stala kružnicou s polomerom $h + R_{\oplus}$.
Raketa vyletí na čo najnižšiu kruhovú orbitu. Následne krátkym impulzom zvýši svoju rýchlosť tak, aby sa apogeum dostalo do veľmi veľkej vzdialenosti $H \gg R_{\oplus}$. Potom sladko zaspí a počká, až ju zotrvačnosť vynesie do apogea. Tam o máličko zrýchli, aby sa perigeum zdvihlo do požadovanej výšky $h$. Napokon opäť počká, až doletí do tohoto nového perigea, a prudko zabrzdí, aby sa jej orbita zmenila na kruhovú.
Samozrejme, Vladko by bol rád, keby bol celkový impulz čo najnižší. Vedeli by ste mu poradiť?
Kvôli jednoduchosti môžete výsledky vyjadrovať pomocou vzdialeností od stredu Zeme v $\xi$-násobkoch zemských polomerov, teda $h + R_\oplus = \xi R_\oplus$.
Podľa neoficiálnych vyjadrení viacerých riešiteľov táto úloha vyzerala naskutku hrozivo. Úlohou vzoráku bude teda nielen vysvetliť, ako sa dala vyriešiť, ale aj presvedčiť vás, že až taká hrozná nebola. Na všetky tri prípady stačilo použiť zákon zachovania energie a zákon zachovania momentu hybnosti. Namiesto energie budeme hovoriť o špecifickej energii, teda energii na jednotku hmotnosti. Pre teleso s konštantnou hmotnosťou to v rovniciach nespraví žiadnu zmenu, akurát sa zbavíme jedného písmena $m$.
No ale moment. Raketa predsa z definície nie je telesom s konštatnou hmotnosťou, časť hmoty predsa zahadzuje za seba a tým sa urýchľuje vpred. Nás však tento mechanizmus zaujímať nebude, pretože impulzy pokladáme za veľmi krátke a naše rovnice budú hovoriť iba o tom, čo sa deje, keď sa raketa hýbe iba zotrvačnosťou. Navyše pre okamžité impulzy nebudeme ani musieť riešiť zložité diferenciálne rovnice – rýchlosť rakety sa bude meniť skokovo a nám ostane iba sčítať veľkosti týchto impulzov. Pre dostatočne krátke impulzy by sa úplné riešenie od nášho ani veľmi nelíšilo.
Odvodíme si všeobecný vzťah medzi polohou, rýchlosťou a dráhou. Úloha sa dá dobre vyriešiť aj bez neho, ale s ním to ide trochu elegantnejšie. Ak motory práve nepracujú, špecifická energia telesa sa musí zachovávať. Nech sa teda pozrieme na ľubovoľné dva body na dráhe, energia musí byť rovnaká. Špecifická energia obiehajúceho telesa je vždy $$ \epsilon = \epsilon_{\mathrm{kin}} + \epsilon_{\mathrm{pot}} = \frac{v^2}{2} - \frac{GM}{r}\text{,} \qquad(1)$$
Ak to platí kdekoľvek, tak to platí aj v apogeu a v perigeu (ktoré si označíme ako $Q$ a $q$), takže $$ \frac{v_q^2}{2} - \frac{GM}{q} = \epsilon = \frac{v_Q^2}{2} - \frac{GM}{Q}\text{.} $$
Po preskupení výrazov za potenciálnu a za kinetickú energiu dostaneme $$ \frac{v_q^2}{2} - \frac{v_Q^2}{2} = \frac{GM}{q} - \frac{GM}{Q}\text{.} \qquad(2)$$
Rýchlosti $v_q$ a $v_Q$ ale nie sú nezávislé, pretože moment hybnosti sa zachováva. Tu využijeme príjemný fakt, že v extrémoch dráhy sa teleso pohybuje kolmo na spojnicu so Zemou. Moment hybnosti je potom daný priamo súčinom vzdialenosti a rýchlosti. Platí teda $$ qv_q = Qv_Q\text{,} $$
odkiaľ vyjadríme napríklad $$ v_q = \frac{Q}{q} v_Q $$
a dosadíme do rovnice 2. Po úpravách dostaneme $$ \frac{1}{2}\left(\frac{Q^2 - q^2}{q^2}\right)v_Q^2 = \frac{GM}{q} - \frac{GM}{Q} $$
a odtiaľ po zjednodušení vyjadríme energiu v apogeu $$ \frac{v_Q^2}{2} = GM\frac{q}{Q\left(q + Q\right)}\text{.} $$
Súčet vzdialeností $q + Q$ ale zodpovedá dĺžke celej hlavnej osi, čiže $2a$: $$ \frac{v_Q^2}{2} = GM\frac{2a - Q}{2a Q} = GM\left(\frac{1}{Q} - \frac{1}{2a}\right)\text{.} $$
Celková špecifická orbitálna energia v apogeu (a teda aj kdekoľvek inde) bude $$ \epsilon = \frac{v^2}{2} - \frac{GM}{r} = \frac{v_Q^2}{2} - \frac{GM}{Q} = -\frac{GM}{2a}\text{.} $$
Ostáva nám toto dosadiť do všeobecného vyjadrenia 1 a dostaneme rovnicu vis-viva, čiže vzťah medzi okamžitou rýchlosťou $v$, vzdialenosťou od stredu $r$ a hlavnou polosou $a$: $$ -\frac{GM}{2a} = \frac{v^2}{2} - \frac{GM}{r} \quad\Rightarrow\quad v^2 = GM \left(\frac{2}{r} - \frac{1}{a}\right)\text{.} \qquad(3)$$
Samozrejme, rovnica sa dá nájsť na internete a odvádzať ste si ju nemuseli. Odvodenie však nie je náročné.
Vo všetkých prípadoch budeme potrebovať poznať rýchlosť, potrebnú na udržanie sa na orbite v tvare kružnice s polomerom $r$. Štandardným riešením je stotožniť dostredivú silu s gravitačnou, čo môžeme zapísať ako $$ \frac{v^2}{r} = \frac{GM}{r^2} \quad \Rightarrow \quad v = \sqrt{\frac{GM}{r}}\text{.} \qquad(4)$$
Alternatívne môžeme použiť všeobecnejšiu rovnicu 3, kde dosadíme $r = a$ a dostaneme ten istý výsledok. Špeciálnym prípadom, ktorý neskôr viackrát využijeme, je prvá kozmická rýchlosť pre $r = R_\oplus$, $$ v_1 = \sqrt{\frac{GM}{R_\oplus}} \doteq \SI{7908}{\metre\per\second}\text{.} \qquad(5)$$
Čo so zvislým štartom? Jednou možnosťou je použiť všeobecný zákon zachovania energie: na začiatku máme známu polohu a neznámu rýchlosť, na konci poznáme aj polohu, aj rýchlosť, ktorá musí byť zo zadania nulová. Druhou možnosťou je, ako inak, použiť našu známu rovnicu 3.
Jednou z jej zaujímavých vlastností je to, že nehovorí nič o smere pohybu – inak povedané, dĺžka hlavnej polosi nezávisí od uhla medzi vektorom rýchlosti a polohy. Teda hneď vieme povedať, že ak vyštartujeme z určitého bodu danou rýchlosťou, dĺžka hlavnej polosi bude rovnaká, nezávisle od smeru letu.1 Pre štart zvislo nahor do vzdialenosti $\xi R_\oplus$ môžeme dosadiť $r = R_\oplus$, a hlavná os bude mať dĺžku $a = \frac{\xi R_\oplus}{2}$. Z rovnice 3 platí $$ v^2 = GM \left(\frac{2}{R_\oplus} - \frac{1}{\frac{\xi R_\oplus}{2}}\right)\text{.} $$
Pôvodná rýchlosť je nulová, takže impulz je rovný práve rýchlosti $v$: $$ \Delta v_{\mathrm{Ia}} = v = \sqrt{\frac{GM}{R_\oplus}\left(2 - \frac{2}{\xi}\right)}\text{.} $$
V momente, keď raketa zastane v najvyššom bode svojej dráhy, jej udelíme ďalší impulz – taký, aby výsledná dráha mala opäť tvar kružnice, čiže $$ \Delta v_{\mathrm{Ib}} = \sqrt{\frac{GM}{\xi R_\oplus}}\text{.} $$
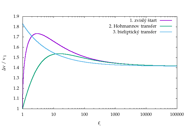
Sčítaním dostávame celkový výsledok $$ \Delta v_{\mathrm{I}} = \Delta v_{\mathrm{Ia}} + \Delta v_{\mathrm{Ib}} = \left(\sqrt{2 - \frac{2}{\xi}} + \sqrt{\frac{1}{\xi}}\right) v_1\text{.} $$
Výpočet tu bude podobný, iba o trochu komplikovanejší. Rovnica 3 ale opäť spraví väčšinu práce za nás. Uvedomíme si, že prvé dva impulzy v zadaní vieme zlúčiť do jedného a vyletieť priamo na eliptickú orbitu. Táto prechodná dráha bude mať perigeum vo výške $0$, čiže vo vzdialenosti $R_\oplus$, a apogeum vo výške $h$, čiže vo vzdialenosti $\xi R_\oplus$. Dĺžka hlavnej polosi bude – ako vždy – polovicou súčtu vzdialeností v apogeu a perigeu, čiže $a = \frac{Q+q}{2} = \frac{\xi + 1}{2} R_\oplus$. Toto dosadíme do rovnice 3 a zistíme, že potrebná rýchlosť je $$ \Delta v_{\mathrm{IIab}} = \sqrt{GM \left(\frac{2}{R_\oplus} - \frac{2}{\left(\xi + 1\right)R_\oplus}\right)} = \sqrt{\frac{2\xi}{\xi + 1}} v_1\text{.} $$
V apogeu opäť zapneme motory, aby sme dosiahli „kružnicovú“ rýchlosť $\sqrt{\frac{GM}{\xi R_\oplus}}$. Rýchlosť rakety tentokrát už nebude nulová, vieme ju však vypočítať – ako inak, než pomocou známej rovnice 3, do ktorej dosadíme rovnakú hlavnú polos $a$ a novú vzdialenosť $r = \xi R_\oplus$. Odtiaľ $$ v_{\mathrm{II_Q}} = \sqrt{GM \left(\frac{2}{\xi R_\oplus} - \frac{2}{\left(\xi + 1\right)R_\oplus}\right)} = \sqrt{\frac{2}{\xi\left(\xi + 1\right)}} v_1\text{.} $$
Potrebný impulz je daný rozdielom „kružnicovej“ a skutočnej rýchlosti, čiže $$ \Delta v_{\mathrm{IIc}} = \sqrt{\frac{GM}{\xi R_\oplus}} - \sqrt{\frac{2}{\xi\left(\xi + 1\right)}}\sqrt{\frac{GM}{R_\oplus}} = \left(\sqrt{\frac{1}{\xi}} - \sqrt{\frac{2}{\xi\left(\xi + 1\right)}}\right) v_1\text{.} $$
Celkový impulz teda bude $$ \Delta v_{\mathrm{II}} = \Delta v_{\mathrm{IIab}} + \Delta v_{\mathrm{IIc}} = \left(\sqrt{\frac{2\xi}{\xi + 1}} + \sqrt{\frac{1}{\xi}} - \sqrt{\frac{2}{\xi\left(\xi + 1\right)}}\right) v_1\text{.} $$
Táto metóda je najkomplikovanejšia, avšak ako uvidíme, za určitých okolností môže byť najlepšou. Prvou časťou sa nebudeme zdržiavať, pretože je podobná, ako v druhom prípade. Opäť môžeme štart a urýchlenie na vysokú orbitu zlúčiť do jediného impulzu. Rozdiel bude v tom, že keďže $H$ je veľmi veľké, potrebný impulz bude takmer rovný druhej kozmickej rýchlosti, teda rýchlosti, ktorá raketu vynesie na parabolickú únikovú dráhu. Potrebnú rýchlosť môžeme spočítať buď cez energie, alebo opäť zo starej známej rovnice 3 a dostaneme $$ \Delta v_{\mathrm{IIIab}} = \sqrt{GM \left(\frac{2}{R_\oplus} - \frac{1}{H}\right)} \overset{H \to \infty}{\longrightarrow} \sqrt{\frac{2GM}{R_\oplus}}\text{.} $$
Následne po veľmi dlhom čase raketa priletí do vzdialeného apogea a prakticky zastane, keďže pre $H \rightarrow \infty$ sa jej rýchlosť v apogeu limitne blíži k nule.
Čo s impulzom, ktorý potrebujeme v apogeu? Nuž, tu na nás číha drobná zrada. Aby sme zvýšili perigeum do výšky $\xi R_\oplus$, musíme zvýšiť rýchlosť natoľko, aby sa hlavná os $2a$ predĺžila na hodnotu $2R_\oplus + H + h$. Lenže naše $H$ je obrovské, takže stačí aj veľmi malá zmena rýchlosti a výška perigea prudko porastie – kto neverí, môže si požadované hodnoty opäť skúsiť dosadiť do rovnice 3. Pre $H \to \infty$ bude teda tento impulz mať zanedbateľnú veľkosť $$ \Delta v_{\mathrm{IIIc}} \to 0\text{.} $$
Po ďalšom dlhom čakaní raketa dosiahne svoje perigeum. Zem ju ale bude priťahovať, takže jej rýchlosť bude opätovne narastať. Celková energia je v tomto prípade z definície nulová,2 takže okamžitá rýchlosť bude vždy rovná únikovej. Aby raketa opäť neuletela do nekonečna, v okamihu prechodu perigeom sa musí otočiť proti smeru letu a intenzívne zabrzdiť. Veľkosť únikovej aj kruhovej rýchlosti vo výške $\xi R_\oplus$ sme už spočítali, a preto vieme povedať, že posledný potrebný impulz bude $$ \Delta v_{\mathrm{IIId}} = \sqrt{\frac{2GM}{\xi R_\oplus}} - \sqrt{\frac{GM}{\xi R_\oplus}} = \left(\sqrt{\frac{2}{\xi}} - \sqrt{\frac{1}{\xi}}\right) v_1$$
a teda celková potrebná zmena rýchlosti je $$ \Delta v_{\mathrm{II}} = \Delta v_{\mathrm{IIIab}} + \Delta v_{\mathrm{IIIc}} + \Delta v_{\mathrm{IIId}} = \left(\sqrt{2} + \sqrt{\frac{2}{\xi}} - \sqrt{\frac{1}{\xi}}\right) v_1\text{.} $$
Uff. Nakoniec už len potrebujeme rozhodnúť, ktorá z našich metód je najlepšia. Nemalo by nás prekvapiť, že to môže závisieť od konkrétnej hodnoty $\xi \in \left[1; \infty\right]$. To vykonáme graficky, čiže si všetky tri funkcie nakreslíme – presnejšie povedané, ich bezrozmerné časti.

Hneď vidíme, že prvý prístup optimálny nebude nikdy, a výber medzi druhým a tretím závisí od požadovaného $\xi$. Ostáva nám vyriešiť hnusnú nerovnicu. Ak nie sme práve masochisti, necháme to nejakému programu, ktorý nám ochotne poradí, že medznou hodnotou je $\xi_0 \doteq \num{11.939}$. Odpoveďou Vladkovi teda bude, že
pre $h < \num{10.939} R_\oplus$ by mal použiť druhú metódu, čiže Hohmannov transfer,
pre $h \geq \num{10.939} R_\oplus$ bude lepšou metódou tretia, zvaná bieliptický transfer.
Fyzikálny korešpondenčný seminár zastrešuje občianske združenie Trojsten.
Trojsten, o.z.
FMFI UK, Mlynská dolina
842 48 Bratislava
Kategória pre makačov
Tímová fyzikálna súťaž pre stredoškolákov
Intenzívny fyzikálny zážitok v lete