Keďže pozerať prednášky na dvojnásobnej rýchlosti je podľa Marcela strašne nudné, musel si vymyslieť niečo, čo bude počas prednášok robiť. Našiel si naozaj zaujímavú zábavu. Zistil, že keď správne fúkne do hrdla fľaše, fľaša vydá nejaký tón. Teraz by ako správny muzikant chcel svoju fľašu naladiť na komorné A. Odmerajte pre neho závislosť výšky tónu od výšky vzduchového stĺpca vo fľaši.
Pozn.: Úlohu odporúčame riešiť s použitím programu na analýzu zvukových dát, napr. Audacity. Stiahnuť si ho môžete napríklad z oficiálnej stránky Audacity.
Zadanie úlohy pomerne jasne určuje čo by sme mali odmerať. Potrebujeme odmerať závislosť tónu, ktorý fľaša vydáva keď fúkame do jej hrdla od výšky vzduchového stĺpca vo fľaši. Ako vždy, keď meriame závislosť dvoch vecí, mali by sme sa snažiť nemeniť nič okrem týchto dvoch vecí. To znamená nemeniť fľašu (celkom jednoduché), nemeniť polohu fľaše voči prúdu vzduchu (s trochou lepiacej pásky je to celkom jednoduché) a mať stabilný zdroj prúdu vzduchu. To sme zariadili tak, že sme do fľaše nefúkali ústami ale ofukovacou pištoľou z kompresora pripojenou na regulovaný výstup. Tento výstup dáva konštantný tlak bez ohľadu na tlak v kompresore. Ofukovaciu pištoľ sme uchytili vo zveráku, aby sa nehýbala. Aby sme s fľašou nehýbali, počas experimentu sme do nej iba lievikom dolievali vodu zafarbenú modrým potravinárskym farbivom, aby bolo lepšie vidieť hladinu.
Čo sa týka samotných výsledkov, zvuk bol zaznamenávaný na mobil, kvôli tomu že má dobrý mikrofón. Na zaznamenávanie výšky vzduchového stĺpca slúžil fotoaparát na statíve. Tieto dve stopy sme následne v počítači synchronizovali.
Spracovanie nameraných dát prebiehalo najprv v Adobe Premiere Pro, kde sme audio stopu z telefónu zosynchronizovali s video stopou z fotoaparátu, zaznamenali miesta, ktoré treba analyzovať (fľaša vydáva zvuk), a tieto miesta následne analyzovali v Audacity. Pomocou možnosti Analyze -> Plot Spectrum sme si vykreslili histogram frekvencií a našli frekvenciu ktorá sa vyskytovala najviac.
Typické výsledky vyzerali približne takto (Audacity za nás aj nájde peak, ktorý je v tomto prípade v $\SI{354}{\hertz}$)
*
Typické výsledky frekvenčnej analýzy
*
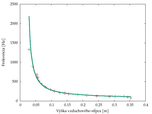
Zo zaznamenaného tónu fľaše sme ignorovali prvú chvíľku (približne $\SI{0.2}{\second}$), kvôli tomu, že zo začiatku redukovaný výstup nedáva konštantný tlak, ale mierne vyšší a až po chvíli sa ustáli na konštantný. Merania sme následne zapísali do tabuľky a do grafu. Fľašu sme naplnili $3$ krát, dokopy sme počas toho urobili $24$ meraní.
| Výška vzduchového stĺpca [$\si{\centi\meter}$] | Frekvencia [$\si{\hertz}$] |
|---|---|
| $\SI{35.3}{\centi\meter}$ | $\SI{79}{\hertz}$ |
| $\SI{34.3}{\centi\meter}$ | $\SI{98}{\hertz}$ |
| $\SI{33.1}{\centi\meter}$ | $\SI{121}{\hertz}$ |
| $\SI{30.3}{\centi\meter}$ | $\SI{116}{\hertz}$ |
| $\SI{28.5}{\centi\meter}$ | $\SI{119}{\hertz}$ |
| $\SI{24.5}{\centi\meter}$ | $\SI{128}{\hertz}$ |
| $\SI{21.3}{\centi\meter}$ | $\SI{144}{\hertz}$ |
| $\SI{18.4}{\centi\meter}$ | $\SI{163}{\hertz}$ |
| $\SI{15.5}{\centi\meter}$ | $\SI{181}{\hertz}$ |
| $\SI{14.4}{\centi\meter}$ | $\SI{200}{\hertz}$ |
| $\SI{14.1}{\centi\meter}$ | $\SI{200}{\hertz}$ |
| $\SI{12.7}{\centi\meter}$ | $\SI{217}{\hertz}$ |
| $\SI{11}{\centi\meter}$ | $\SI{251}{\hertz}$ |
| $\SI{9.7}{\centi\meter}$ | $\SI{294}{\hertz}$ |
| $\SI{8.2}{\centi\meter}$ | $\SI{354}{\hertz}$ |
| $\SI{7.8}{\centi\meter}$ | $\SI{374}{\hertz}$ |
| $\SI{6.9}{\centi\meter}$ | $\SI{444}{\hertz}$ |
| $\SI{6.1}{\centi\meter}$ | $\SI{513}{\hertz}$ |
| $\SI{5.7}{\centi\meter}$ | $\SI{595}{\hertz}$ |
| $\SI{5.5}{\centi\meter}$ | $\SI{623}{\hertz}$ |
| $\SI{5.4}{\centi\meter}$ | $\SI{686}{\hertz}$ |
| $\SI{4.1}{\centi\meter}$ | $\SI{888}{\hertz}$ |
| $\SI{2.9}{\centi\meter}$ | $\SI{1328}{\hertz}$ |
Následne sme merania zakreslili do grafu:
*
Graf závislosti tónu od výšky vzduchového stĺpca.
*
Hodnoty sme fitli funkciou $f(x)=a/(x+c)+b$, keďže teoretická očakávaná závislosť je $f = k\frac{v}{l}$, kde $f$ je frekvencia, $v$ je rýchlosť zvuku, $l$ je výška vzduchového stĺpca a $k$ je konštanta.
Na záver je ešte slušné spomenúť chyby merania. Výška vzduchového stĺpca bola pomocou kamery odčítavaná s presnosťou na milimetre a frekvencia bola meraná z mikrofónu telefónu pomocou Audacity s presnosťou, akou zaznamenáva mikrofón.
Asi najväčšia chyba merania bola ale v tom, že aby sme fľašou nehýbali počas merania, sme museli nastaviť jej správnu polohu hneď na začiatku. To ale pri nízkych tónoch nebolo jednoduché, lebo sme tak nízke tóny nepočuli dostatočne hlasno. Problém bol aj, že tieto nízke, rovnako ako aj vysoké frekvencie už mikrofón nezaznamenával správne.
Fyzikálny korešpondenčný seminár zastrešuje občianske združenie Trojsten.
Trojsten, o.z.
FMFI UK, Mlynská dolina
842 48 Bratislava
Kategória pre makačov
Tímová fyzikálna súťaž pre stredoškolákov
Intenzívny fyzikálny zážitok v lete