Zoznam úloh

4. Čaj o šiestej

Zadanie

Možno si spomínate na minuloročný príklad „Čaj o piatej“[^1]. Na úspešné riešenie tejto úlohy ho však poznať nemusíte. V ňom Maťo[^2] prišiel na znepokojivú skutočnosť, že ak si naleje do svojho obľúbeného pohára horúcu vodu z čajníka, určité množstvo vody ubudne ešte pred tým, ako čaj ochladne dostatočne na to, aby sa dal piť.

Ale viete, ako to chodí. Teoretickí fyzici niečo spočítajú, no skutočnosť je častokrát odlišná. Preto si to tentokrát všetko poctivo odmerajte. Pokúste sa experimentálne zistiť, aké množstvo čaju a ako rýchlo „ubudne“ v pohári v závislosti na jeho počiatočnej teplote. Pri experimentoch vyskúšajte otvorený aj uzavretý pohár. Na základe výsledkov skúste odhadnúť, či je za úbytkom čaju vyparovanie alebo teplotná rozťažnosť. Pri návrhu experimentu sa môžete inšpirovať vzorovým riešením k úlohe „Čaj o piatej“. Na meranie odporúčame použiť vysokú nádobu (napr. odmerný valec).


  1. Tí, ktorí nie, alebo tí, ktorí minulý rok FKS neriešili, ho nájdu v 1. kole letnej série 31. ročníka

  2. Pozor, nie ten Maťo, čo bol v príkladoch prvého a druhého kola…

Vyhrážky z minulého roka sa nám teda naplnili a úloha je tu zas, tentokrát v experimentálnom formáte. No, ľahká pomoc, veď predsa zoberiem čajník, dám variť vodu, zalejem čaj, párkrát odmeriam pokles hladiny a mám to vybavené. Deväť bodov zadarmo. Alebo možno ani nie.

Takže dáme variť vodu a zatiaľ si povieme niečo o tom, čo, ako a prečo budeme robiť. Zadanie je natoľko milosrdné, že nám hovorí, že ide najmä teplotnú rozťažnosť samotnej vody a jej ochotu vyparovať sa do okolitého priestoru počas toho, ako chladne. Dôkladné teoretické zdôvodnenie a aké-také výpočty okolo celého javu ste už svojmu utrápenému svedomiu poskytli sami v minuloročnej úlohe Čaj o piatej[^1], takže sa mu detailne nebudeme venovať.

Postup merania

Dočítané? Takže, keď už sme dostatočne teoreticky nabúšení, môžeme pristúpiť k samotnému meraniu. Najprv si rozmyslíme, že miesto čajníka je lepšie použiť voľáku pravidelnú a uzatvárateľnú nádobu, napríklad rodinný krištáľ nadobudnutý počas výletu do IKEA alebo valcovitý zaváraninový pohár zdedený po prababičke. Zaváraninový pohár má navyše výhodu, že je bežne dodávaný aj s viečkom, s pomocou ktorého sa dá ľahko vykonať prvá časť merania. Ak viečko nemáme, pomôžeme si napríklad priesvitnou fóliou, ktorú pre istotu ešte stiahneme okolo deravého konca pohára gumičkou.

Snáď je každému jasné, že ak pohár dobre uzavrieme, hmotnosť – a teda skutočné množstvo, čiže počet častíc – čaju v ňom sa meniť nemôže, takže za akúkoľvek zmenu objemu musia byť zodpovedné iné javy. Ak vylúčime vplyv smädných mimozemšťanov zo štvrtého rozmeru, ktorí svoje sosáky dostanú dovnútra pohára aj bez porušenia skla, za zmenou objemu bude teraz musieť byť práve tepelná rozťažnosť samotného čaju.

Okrem nádob však potrebujeme ešte ďalšiu profesionálnu výbavu. Po prvé sa nám hodí nejaké sofistikované zariadenie na ohrev vody, napríklad rýchlovarná kanvica alebo plynový sporák. Po druhé budeme niečím potrebovať odmerať počiatočnú hmotnosť vody, takže použijeme kuchynské, prípadne v kultúrnejšom prostredí laboratórne váhy, resp. digitálnu mikrováhu. No a po tretie by sa hodil teplomer, či už liehový, alebo digitálny. V každom prípade by mal vydržať teplotu aspoň $$\SI{100}{\celsius}$$.

Samozrejme by sme niečím chceli merať objem. To sa dá viacerými spôsobmi, napríklad pomocou odmerného valca, striekačiek, poctivým premeraním nádoby a následným integrovaním prierezu cez celú jej výšku… keďže však máme tak či tak poruke váhu, môžeme využiť aj tú, prosto odmeriame hmotnosť vody pri známej izbovej teplote a podľa tabuľkovej hodnoty hustoty ju prepočítame na objem.

V neposlednom rade si uvedomíme, že teplotu nemusíme merať pre rôzne počiatočné teploty, ale môžeme si povedať, že každé meranie teploty bude počiatkom nového merania priebehu v závislosti od počiatočnej teploty. Takto ušetríme veľké množstvo elektriny, času a predovšetkým vlastných nervov.[^2]

Úplne na začiatku si odmeriame hmotnosti prázdnych suchých pohárov, vrátane všetkých viečok, krytov a gumičiek. Táto hmotnosť pre nás nie je zaujímavá a na naše veľké šťastie sa s časom nemení, môžeme ju teda bez ďalších škrupúľ rovno odčítať od hodnôt, ktoré nám ukazuje váha. Prípadne, ak máme trochu chytrejšiu váhu, môžeme ju s prázdnym pohárom tarovať, teda nastaviť ako referenčnú hodnotu práve hmotnosť prázdneho pohára. Do tabuľky si potom zaznačujeme už redukované, tarované hodnoty. Ak však chytrú váhu nemáme, do poznámok určite patria „surové“ hodnoty, všetky opravy zásadne robíme až v pokoji pri spisovaní protokolu, nie v horiacom a čmudiacom laboratóriu a už vôbec nie z hlavy!

Teraz do pohára nalejeme do fixnej výšky (napríklad po značku alebo horný okraj) vriacu vodu a opatrne ho premiestnime na váhu. Rozstrapkaným koncom ruky uchopíme teplomer a jeho akčnú časť (teda nádržku s liehom alebo senzor) vložíme do vody a počkáme, kým sa hodnota neustáli. Je možné, že teplota bude tesne pod bodom varu rýchlo klesať, pretože si voda vymieňa energiu nie len so vzduchom, ale aj s relatívne chladným pohárom. To ale nevadí, nikde nie je napísané, že musíme začať merať pri bode varu. Dokonca je lepšie krátku chvíľu počkať, aby sa už teplota až tak rýchlo nemenila.

Meranie

Celé meranie sme vykonali dvakrát s dvomi rôznymi pohármi, zaváraninovým a obyčajným. Ako sme si sľúbili, najprv sme odvážili prázdne poháre, otvorené ($$m_o$$) aj zatvorené ($$m_z$$). Ich hmotnosti budeme odčítavať od celkových nameraných hmotností. Potom váhu zakaždým zatarujeme, neuzavreté poháre naplníme vodou izbovej teploty a znovu odvážime. Takto získame hmotnosť vody $$m_v$$ a tú premeníme na objem pohára. Ani s hodnotou $$\rho = \SI{1000}{\kilo\gram\per\cubic\metre}$$ sa nedopustíme veľkej chyby.

namerané hmotnosti pohárov a vypočítané objemy
pohár $$m_o / \si{\kilo\gram}$$ $$m_z / \si{\kilo\gram}$$ $$m_v / \si{\kilo\gram}$$ $$V / \si{\cubic\centi\metre}$$
IKEA $$\num{416.2}$$ $$\num{418.8}$$ $$\num{418.2}$$ $$\num{418.2}$$
zaváraninový $$\num{227.1}$$ $$\num{236.5}$$ $$\num{476.3}$$ $$\num{476.3}$$

V prvej časti sme odmerali pokles objemu spôsobený čisto tepelnou rozťažnosťou: oba poháre sme naplnili čerstvo zovretou vodou až po hornú hranu, opatrne ich zavreli (resp. zafóliovali) a odvážili. Potom sme ich nechali niekoľko hodín (cez noc) stáť. Do rána mali obidva izbovú teplotu $$\SI{22}{\celsius}$$.

Experimentálny pohár, uzavretý plastovou fóliou * Experimentálny pohár, uzavretý plastovou fóliou *

Následne sme poháre otvorili a doliali odstátou vodou rovnakej teploty po vrch. Znovu sme poháre odvážili a zaznamenaný rozdiel premenili na objem $$\Delta V$$. Nakoniec sme vyjadrili objemovú teplotnú rozťažnosť pre $$\Delta T$$, $$\beta = 1 - \frac{\Delta V}{V}$$.

objem a teplotná rozťažnosť vody
pohár $$V_0 / \si{\cubic\centi\metre}$$ $$\Delta V / \si{\cubic\centi\metre}$$  $$\Delta T / \si{\kelvin}$$ $$\beta / 1$$
IKEA $$\num{418.2}$$ $$\num{17.5}$$ $$\num{76}$$ $$\num{0.039}$$
zaváraninový $$\num{476.3}$$   $$\num{18.4}$$ $$\num{76}$$ $$\num{0.041}$$

Obe merania nám ukazujú, že približne $$\SI{4}{\percent}$$ objemu vody v čajníku sa stratí v dôsledku ochladnutia.

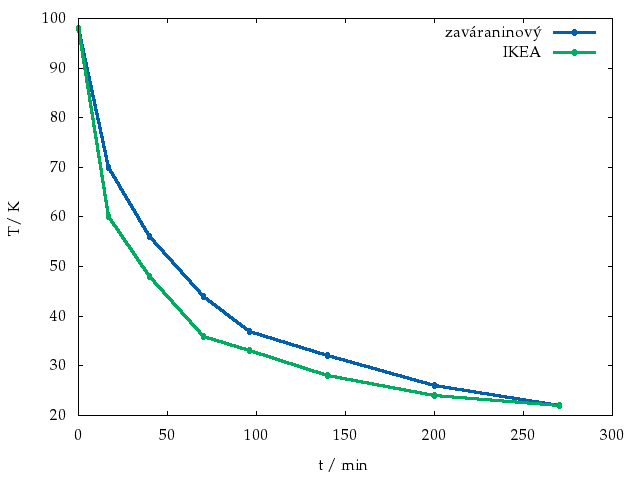
V druhej časti sme nechali poháre odkryté. Znovu sme ich naplnili horúcou vodou a odmerali sme teplotu a hmotnosť celého pohára a zaznačili si údaje do tabuľky. Túto procedúru sme následne opakovali v určitých časových okamihoch, až kým voda neochladla na izbovú teplotu.

Experimentálna aparatúra: pohár s vodou a digitálna váha. Teplota vody je práve meraná digitálnym teplomerom * Experimentálna aparatúra: pohár s vodou a digitálna váha. Teplota vody je práve meraná digitálnym teplomerom *

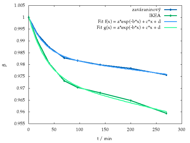
Celú druhú časť merania by sme ideálne mali zopakovať viackrát. Nám sa to kvôli meniacim sa podmienkam, najmä veľkej zmene vlhkosti v miestnosti, nepodarilo. Presnosť teplomera uvažujeme na úrovni $$\SI{1}{\celsius}$$. Veličiny $$\tau_\mathrm{zav}$$ a $$\tau_\mathrm{IKEA}$$ vyjadrujú relatívnu hmotnosť voči prvému meraniu – do grafov vynášame tú, pretože na skutočnej veľkosti pohára nám nezáleží.

priebeh poklesu hmotnosti vody v oboch pohároch
$$t / \si{\minute}$$ $$T_\mathrm{zav} / \si{\celsius}$$ $$m_\mathrm{zav} / \si{\gram}$$ $$\tau_\mathrm{zav}$$ $$T_\mathrm{IKEA} / \si{\celsius}$$ $$m_\mathrm{IKEA} / \si{\gram}$$ $$\tau_\mathrm{IKEA}$$
$$\num{0}$$ $$\num{98}$$ $$\num{459.5}$$ $$\num{1.000000}$$ $$\num{98}$$ $$\num{401.2}$$ $$\num{1.000000}$$
$$\num{17}$$ $$\num{70}$$ $$\num{456.3}$$ $$\num{0.993036}$$ $$\num{60}$$ $$\num{397.3}$$ $$\num{0.990279}$$
$$\num{40}$$ $$\num{56}$$ $$\num{453.7}$$ $$\num{0.987378}$$ $$\num{48}$$ $$\num{393.4}$$ $$\num{0.980558}$$
$$\num{70}$$ $$\num{44}$$ $$\num{451.6}$$ $$\num{0.982807}$$ $$\num{36}$$ $$\num{390.4}$$ $$\num{0.973081}$$
$$\num{96}$$ $$\num{37}$$ $$\num{451.1}$$ $$\num{0.981719}$$ $$\num{33}$$ $$\num{389.3}$$ $$\num{0.970339}$$
$$\num{140}$$ $$\num{32}$$ $$\num{450.3}$$ $$\num{0.979978}$$ $$\num{28}$$ $$\num{388.4}$$ $$\num{0.968096}$$
$$\num{200}$$ $$\num{26}$$ $$\num{449.6}$$ $$\num{0.978455}$$ $$\num{24}$$ $$\num{387.1}$$ $$\num{0.964855}$$
$$\num{270}$$ $$\num{22}$$ $$\num{448.3}$$ $$\num{0.975626}$$ $$\num{22}$$ $$\num{384.9}$$ $$\num{0.959372}$$

Nakoniec si dáta vizualizujeme v dvoch grafoch. V prvom vynesieme závislosť hmotnosti od uplynutého času, v druhom od aktuálnej teploty. Pre úplnosť ešte v „nultom“ grafe ukážeme, ako sa teplota menila s časom.

Závislosť teploty vody $T$ od uplynulého času * Závislosť teploty vody $$T$$ od uplynulého času *

Graf závislosti relatívnej hmotnosti vody $\tau$ od uplynulého času * Graf závislosti relatívnej hmotnosti vody $$\tau$$ od uplynulého času *

Závislosť relatívnej hmotnosti vody $\tau$ od teploty * Závislosť relatívnej hmotnosti vody $$\tau$$ od teploty *

Časová závislosť poklesu hmotnosti je na prvý pohľad exponenciálna, druhá vyzerá byť veľmi približne lineárna. Úplne to tak ale byť nemôže, pretože aj po dosiahnutí izbovej teploty sa voda naďalej odparuje. Navyše omnoho lepší fit prvej závislosti dosiahneme pomocou funkcie v tvare $$f(x) = ae^{-bx} + cx + d$$, teda exponenciálny plus lineárny pokles (viz graf).

Takže môžeme naše výsledky zhrnúť: počas chladnutia na izbovú teplotu sme v dôsledku odparenia stratili približne $$\SI{2.5}{\percent}$$, resp. $$\SI{4}{\percent}$$ vody. Porovnaním hodnôt $$1 - \tau$$ a $$\beta$$ pre oba poháre vidíme, že oba efekty prispievajú k úbytku zhruba rovnakým dielom. Rozdielna rýchlosť poklesu je podľa nás spôsobená najmä veľkým rozdielom veľkosti voľných hladín. Zaváraninový pohár je navrchu zúžený, naopak obyčajný pohár sa rozširuje, takže plocha, z ktorej sa voda môže odparovať, je väčšia.

Chyby merania

Hoci sme samozrejme všetci úplne úžasní, ani nám sa nevyhnú určité fyzikálne nepríjemnosti. Napríklad sme sa mohli na horúcom pohári popáliť, pustiť ho aj s vodou na stôl a časť vody rozliať.[^3] V takom prípade nám ale nezostáva nič iné, než celé meranie opakovať. Avšak ak sme aj nič nerozliali ani inak neznehodnotili, určitým systematickým chybám sme sa vyhnúť nevedeli.

V prvom rade nám napadla tepelnú rozťažnosť samotného pohára, ktorá pri našej presnosti takisto nemusí byť úplne zanedbateľná, najmä preto, že objem rastie až s treťou mocninou dĺžky. Sklo sa však s meniacou sa teplotou rozťahuje omnoho menej, než voda. Ak by sme však mali posuvné meradlo, s opravou tejto chyby by to nemuselo byť až také beznádejné. Tvar pohára ešte takisto môže ovplyvniť veľkosť voľnej hladiny čaju – samozrejme, čím je voľný povrch väčší, tým rýchlejšie bude odparovanie prebiehať.

Veľmi dôležitým parametrom, ktorý sa však veľmi zle kontrolovane mení[^4], je vlhkosť vzduchu v miestnosti. Ak by bol vzduch úplne nasýtený vodnou parou, voda v pohári by dosiahla tzv. dynamickú rovnováhu – z kvapaliny by sa uvoľňovalo rovnako veľa molekúl, ako by v nej náhodnými mikroskopickými pohybmi vzduchu zase pristávalo. Naopak v suchom vzduchu by sa uvoľnené molekuly rozptyľovali veľmi ochotne, a keby sme ich navyše nejakým spôsobom z miestnosti odstraňovali (napríklad vetraním), voda by z pohára mizla pomerne rýchlo.

Pozor však na to, že to platí iba po tom, ako sa teplota zníži k teplote miestnosti! Totiž, kým je pohár teplý, prehrieva aj okolitý vzduch. Množstvo vodnej pary, ktoré je vzduch schopný poňať, však s teplotou prudko rastie, takže teplý vzduch blízko pohára by bol schopný zjesť viac vody, ako okolitý studený (aj v prípade, že by studený vzduch v miestnosti bol už nasýtený). Tento teplý vzduch sa následne rýchlo schladí a premieša s okolitým studeným vzduchom, takže vodná para sa už naspäť do pohára nevráti.

V poslednom rade môžeme spomenúť veci, ktoré v domácich podmienkach veľmi nemáme ani ako odmerať, ani veľmi zmysluplne ovplyvniť – napríklad množstvo a druh rozpustených minerálov vo vode (teda jej tvrdosť), rýchlosť prúdenia vzduchu v miestnosti a tak podobne. Pri našej presnosti však ich vplyvy budú tak či onak zanedbateľné.

Záver

Vidíme, že naše teoretické oddelenie sa tentokrát mýlilo a oba efekty sú približne rovnaké. Z pohára stratíme približne $$\SIrange{3}{4}{\percent}$$ vody (objemu aj hmotnosti) odparením a rovnako približne $$\SI{4}{\percent}$$ objemu čaj stratí kvôli tomu, že ochladne. Tu ale môžeme byť pokojní, keďže na na skutočné množstvo, teda hmotnosť čaju to nemá vplyv.


  1. A ak aj náhodou nie, máte jedinečnú príležitosť pohrabať sa v archíve vzorákov, keďže za mňa už všetku špinavú robotu urobil Jaro (za čo mu na tomto mieste čo najsrdečnejšie ďakujem).

  2. Špeciálne, ak experimentálku robíme večer v deň termínu. Neviem, ako Vy, ale ja som vysmiaty, lebo vzorák píšem načas.

  3. Viem, o čom hovorím.

  4. Preto sme ho od vás ani nevyžadovali.

Pre odovzdávanie sa musíš prihlásiť.
Trojsten

Fyzikálny korešpondenčný seminár zastrešuje občianske združenie Trojsten.

Kontakt
Ďalšie projekty